Home | Banklexikon | Finanzlexikon | Wirtschaftslexikon | Überblick
Banklexikon
Ausgabe 2014
Suche :        
   A   B   C   D   E   F   G   H   I   J   K   L   M   N   O   P   Q   R   S   T   U   V   W   X   Y   Z   

Effektivzins nach Moosmüller

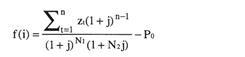
ist eine dynamische Form der Renditeberechnung. Sie wird hauptsächlich von institutionellen Händlern verwendet und ist die finanzmathematisch korrekte Ermittlung der jährlichen Effektivverzinsung auf Basis einer Periodenrendite. Für die Berechnung des Effektivzinses nach der Methode von Moosmüller ist charakteristisch, dass alle Zeitintervalle (dt+1 - dt), die nach der ersten Zahlung des Schuldners auftreten, gleich lang sind: Unter Verwendung dieser Festlegung lautet die Barwertfunktion:     Effektivzins nach Moosmüller                         Für die Berechnung des Effektivzinses wird eine Nullstellenbestimmung der Funktion       Effektivzins nach Moosmüller durchgeführt. Die iterative Berechnung des Effektivzines kann mit Hilfe des Newton- schen Annäherungsverfahrens erfolgen. Symbole: zt = t-te Zahlung des Schuldners an den Gläubiger mit t=l,....,n i = Jahreszinssatz, Effektivrendite m = Anzahl der Zahlungen des Schuldners pro Jahr dt = Zeitraum, der bei Zahlungen des Betrages zt seit Bewertungszeitpunkt vergangen ist. NI = ganzahliger Anteil der Restlaufzeit N2 = nicht ganzzahliger Laufzeitrest j = Subperioden Zinssatz bei mehr als einer Leistung des Schuldners pro Jahr.





<< vorhergehender Fachbegriff
 
nächster Fachbegriff >>
Effektivzins nach ISMA
 
Effektivzins nach PangV
Weitere Begriffe : AE RFC | Risikokömpensation | Verflüssigungsfinanzierung
 
Copyright © 2014 Banklexikon.info
Banklexikon | Finanzlexikon | Wirtschaftslexikon | Nutzungsbestimmungen | Datenschutzbestimmungen | Impressum
All rights reserved.